A “Curva do Esquecimento”: Por Que Seu Cérebro Joga Fora o Que Você Aprendeu e Como Evitar Isso
Você já se dedicou horas a um estudo, sentindo que dominava completamente um novo tópico, apenas para descobrir, dias ou até horas depois, que a maior parte da informação simplesmente desapareceu? Essa frustrante experiência, comum a estudantes e aprendizes de todas as idades, não é uma falha da sua capacidade intelectual, mas sim um processo neurológico natural conhecido como a “Curva do Esquecimento”.
No final do século XIX, o psicólogo alemão Hermann Ebbinghaus dedicou-se a entender como a memória funciona e, mais especificamente, como e por que esquecemos. Em seus estudos pioneiros, ele descobriu um padrão previsível na perda de informações ao longo do tempo. Este padrão, hoje, nos oferece um mapa para “hackear” nosso cérebro e reter o conhecimento de forma muito mais eficaz.
O Que é a Curva do Esquecimento de Hermann Ebbinghaus?
A Curva do Esquecimento descreve a rapidez com que perdemos informações recém-adquiridas quando não fazemos um esforço consciente para retê-las. A descoberta de Ebbinghaus revelou que o declínio da memória não é linear. Na verdade, a queda mais acentuada ocorre logo após o aprendizado inicial.
Imagine que você acabou de aprender um novo conceito. No momento em que termina de estudá-lo, sua retenção está em 100%. No entanto, segundo os estudos de Ebbinghaus, em apenas 20 minutos, você pode já ter esquecido cerca de 40% do que aprendeu. Após um dia, essa perda pode chegar a 70%, e ao final de um mês, talvez reste apenas uma pequena fração do conhecimento original.
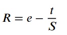
Essa perda exponencial de memória pode ser representada matematicamente pela fórmula:

Onde:
- R é a retenção da memória (o quanto você se lembra).
- e é a constante matemática de Euler (aproximadamente 2.718), a base do logaritmo natural.
- t é o tempo decorrido desde o aprendizado.
- S é a “força” da memória, que indica a dificuldade do material e a sua capacidade de retê-lo.
Essa fórmula, embora pareça complexa à primeira vista, ilustra um conceito simples: com o passar do tempo (aumento de t), a retenção (R) diminui exponencialmente. A “força” da memória (S) é o fator que pode achatar essa curva, e é exatamente aqui que podemos intervir.
Por Que Nosso Cérebro é Programado para Esquecer?
Pode parecer contraintuitivo, mas o esquecimento é um mecanismo de otimização do nosso cérebro. Diariamente, somos bombardeados por uma quantidade colossal de informações, e seria insustentável e ineficiente armazenar cada detalhe. O cérebro, então, atua como um filtro, descartando informações que ele julga não serem importantes ou relevantes para a nossa sobrevivência e uso futuro.
Se uma informação não é revisitada, o cérebro entende que ela não é útil e as conexões neurais que a sustentam começam a enfraquecer, abrindo espaço para novas e mais relevantes memórias.
“Hackeando” o Cérebro: A Repetição Espaçada Como Solução
Se o cérebro descarta o que não é usado, a solução para reter o conhecimento é, logicamente, usá-lo. Mas não de qualquer maneira. Ebbinghaus descobriu que a forma mais eficaz de combater a Curva do Esquecimento é através da repetição espaçada.
A repetição espaçada é uma técnica de aprendizado que envolve revisar o material em intervalos de tempo crescentes. Cada vez que você revisita uma informação, a taxa de esquecimento diminui. A curva, que antes era acentuada, torna-se progressivamente mais plana a cada revisão.
Funciona da seguinte maneira: ao revisar uma informação no momento em que você está prestes a esquecê-la, você sinaliza ao seu cérebro que aquele conhecimento é, de fato, importante. Isso fortalece as conexões neurais relacionadas àquela memória, tornando-a mais duradoura e fácil de ser acessada no futuro.
Como Aplicar a Repetição Espaçada nos Seus Estudos
Integrar a repetição espaçada em sua rotina de estudos é mais simples do que parece. Uma das estratégias mais conhecidas é a regra “24-7-30”:
- Primeira Revisão (24 horas depois): Um dia após o estudo inicial, faça a primeira revisão. Neste ponto, você já terá esquecido uma parte do conteúdo, e o esforço para relembrá-lo fortalecerá significativamente a memória.
- Segunda Revisão (7 dias depois): Uma semana após o aprendizado original, faça a segunda revisão. A perda de memória será menor do que da primeira vez, e a retenção se estenderá por um período ainda maior.
- Terceira Revisão (30 dias depois): Um mês após o primeiro contato com o material, realize uma terceira revisão. Neste estágio, a informação já estará migrando para a sua memória de longo prazo.
Além dessa regra geral, você pode utilizar diversas ferramentas e técnicas para aplicar a repetição espaçada de forma eficiente:
- Flashcards: Crie cartões com uma pergunta ou conceito de um lado e a resposta do outro. Eles são ideais para a memorização de vocabulário, fórmulas e datas.
- Aplicativos Dedicados: Ferramentas como o Anki, Quizlet e Duolingo utilizam algoritmos de repetição espaçada para apresentar a informação a ser revisada no momento ideal.
- Mapas Mentais e Resumos: Ao invés de apenas reler o material, recrie seus mapas mentais ou resumos de memória. Esse processo de “recordação ativa” é muito mais poderoso do que a simples releitura passiva.
- Autoexplicação e Ensino: Tente explicar o conceito com suas próprias palavras, como se estivesse ensinando para outra pessoa. Essa é uma das formas mais eficazes de consolidar o aprendizado.
Ao adotar a repetição espaçada, você deixa de ser uma vítima da Curva do Esquecimento e passa a ser um arquiteto ativo da sua memória. Compreender que o esquecimento é um processo natural e que possuímos as ferramentas para gerenciá-lo é o primeiro passo para um aprendizado mais eficiente, duradouro e, acima de tudo, gratificante.



